These notes are from the February 23, 2016 lecture of 18.757, Representations of Lie Algebras, taught by Laura Rider.
Fix a field and let
be a finite group. In this post we will show that one can reconstruct the group
from the monoidal category of
-modules (i.e. its
-representations).
1. Hopf algebras
We won’t do anything with Hopf algebras per se, but it will be convenient to have the language.
Recall that an associative -algebra is a
-vector space
equipped with a map
and
(unit), satisfying some certain axioms.
Then a -coalgebra is a map
called comultiplication and counit respectively, which satisfy the dual axioms. See \url{https://en.wikipedia.org/wiki/Coalgebra}.
Now a Hopf algebra is a bialgebra
over
plus a so-called antipode
. We require that the diagram
commutes.
Given a Hopf algebra group-like element in
is an element of
Exercise 1
Show that is a group with multiplication
and inversion
.
Now the example
Example 2 (Group algebra is Hopf algebra)
The group algebra is a Hopf algebra with
,
as expected.
the counit is the trivial representation.
comes form
extended linearly.
takes
extended linearly.
Theorem 3
The group-like elements are precisely the basis elements .
Proof: Assume is grouplike. Then by assumption we should have
Comparing each coefficient, we get that
This can only occur if some is
and the remaining coefficients are all zero.
2. Monoidal functors
Recall that monoidal category (or tensor category) is a category equipped with a functor
which has an identity
and satisfies some certain coherence conditions. For example, for any
we should have a natural isomorphism
The generic example is of course suggested by the notation: vector spaces over , abelian groups, or more generally modules/algebras over a ring
.
Now take two monoidal categories and
. Then a monoidal functor
is a functor for which we additionally need to select an isomorphism
We then require that the diagram
commutes, plus some additional compatibility conditions with the identities of the ‘s (see Wikipedia for the list).
We also have a notion of a natural transformation of two functors ; this is just making the squares
commute. Now, suppose is a monoidal functor. Then an automorphism of
is a natural transformation
which is invertible, i.e. a natural isomorphism.
3. Application to ![{k[G]}](https://s0.wp.com/latex.php?latex=%7Bk%5BG%5D%7D&bg=ffffff&fg=000000&s=0&c=20201002)
With this language, we now reach the main point of the post. Consider the category of modules endowed with the monoidal
(which is just the tensor over
, with the usual group representation). We want to reconstruct
from this category.
Let be the forgetful functor
It’s easy to see this is in fact an monoidal functor. Now let be the set of monoidal automorphisms of
.
The key claim is the following:
Theorem 4 ( is isomorphic to
)
Consider the map
Here, the natural transformation is defined by the components
Then is an isomorphism of groups.
In particular, using only structure this exhibits an isomorphism
. Consequently this solves the problem proposed at the beginning of the lecture.
Proof: It’s easy to see is a group homomorphism.
To see it’s injective, we show gives
isn’t the identity automorphism. i.e. we need to find some representation for which
acts nontrivially on
. Now just take the regular representation, which is faithful!
The hard part is showing that it’s surjective. For this we want to reduce it to the regular representation.
Lemma 5
Any is completely determined by
.
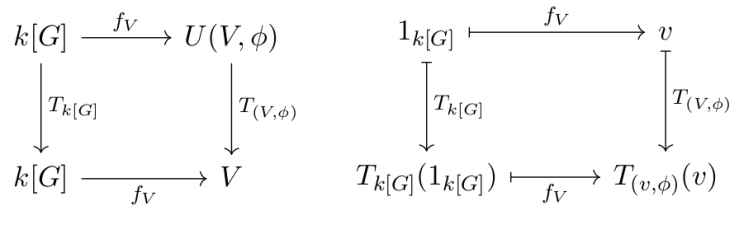
Proof: Let be a representation of
. Then for all
, we have a unique morphism of representations
If we apply the forgetful functor to this, we have a diagram
Next, we claim
Lemma 6
is a grouplike element of
.
Proof: Draw the diagram
This implies surjectivity, by our earlier observation that grouplike elements in are exactly the elements of
.




